Wetter: Unterschied zwischen den Versionen
Erscheinungsbild
Keine Bearbeitungszusammenfassung |
Keine Bearbeitungszusammenfassung |
||
| Zeile 15: | Zeile 15: | ||
{|class="sortable" cellspacing="0" cellpadding="1" | {|class="sortable" cellspacing="0" cellpadding="1" | ||
!style="border-left:1px solid #aaaaaa; border-top:1px solid #aaaaaa; border-bottom: 1px solid #aaaaaa; background:#f0f0f0"|Monat||style="border-left:1px solid #aaaaaa; border-top:1px solid #aaaaaa; border-bottom:1px solid #aaaaaa; background:#f0f0f0"|Höchsttemperatur||style="border-left:1px solid #aaaaaa; border-top:1px solid #aaaaaa; border-bottom:1px solid #aaaaaa; background:#f0f0f0"|Tiefsttemperatur||style="border-left:1px solid #aaaaaa; border-top:1px solid #aaaaaa; border-bottom:1px solid #aaaaaa; background:#f0f0f0"|Max. Windgeschindigkeit||style="border-left:1px solid #aaaaaa; border-top:1px solid #aaaaaa; border-right:1px solid #aaaaaa; border-bottom:1px solid #aaaaaa; background:#f0f0f0"|Gesamt-Niederschlagsmenge pro Quadratmeter||style="border-left:1px solid #aaaaaa; border-top:1px solid #aaaaaa; border-right:1px solid #aaaaaa; border-bottom:1px solid #aaaaaa; background:#f0f0f0"|Max. Tagesniederschlag pro Quadratmeter||style="border-left:1px solid #aaaaaa; border-top:1px solid #aaaaaa; border-right:1px solid #aaaaaa; border-bottom:1px solid #aaaaaa; background:#f0f0f0"|Anmerkungen zum Monatsklima | !style="border-left:1px solid #aaaaaa; border-top:1px solid #aaaaaa; border-bottom: 1px solid #aaaaaa; background:#f0f0f0"|Monat||style="border-left:1px solid #aaaaaa; border-top:1px solid #aaaaaa; border-bottom:1px solid #aaaaaa; background:#f0f0f0"|Höchsttemperatur||style="border-left:1px solid #aaaaaa; border-top:1px solid #aaaaaa; border-bottom:1px solid #aaaaaa; background:#f0f0f0"|Tiefsttemperatur||style="border-left:1px solid #aaaaaa; border-top:1px solid #aaaaaa; border-bottom:1px solid #aaaaaa; background:#f0f0f0"|Max. Windgeschindigkeit||style="border-left:1px solid #aaaaaa; border-top:1px solid #aaaaaa; border-right:1px solid #aaaaaa; border-bottom:1px solid #aaaaaa; background:#f0f0f0"|Gesamt-Niederschlagsmenge pro Quadratmeter||style="border-left:1px solid #aaaaaa; border-top:1px solid #aaaaaa; border-right:1px solid #aaaaaa; border-bottom:1px solid #aaaaaa; background:#f0f0f0"|Max. Tagesniederschlag pro Quadratmeter||style="border-left:1px solid #aaaaaa; border-top:1px solid #aaaaaa; border-right:1px solid #aaaaaa; border-bottom:1px solid #aaaaaa; background:#f0f0f0"|Anmerkungen zum Monatsklima | ||
{{Temperatureintrag|Jänner 2012|9,6 Grad am 22.1.|-10,2 Grad am 31.1.|78 km/h am 22.1.|135,8 Liter|26,0 Liter am 19.1.|Sehr feuchter Jänner. Es wurde die doppelte Niederschlagsmenge als für diesen Monat üblich registriert!}} | |||
{{Temperatureintrag|Dezember 2011|13,2 Grad am 16.12.|-6,8 Grad am 20.12.|97 km/h am 16.12.|73,2 Liter|12,6 Liter am 7.12.|Wärmster Dezember am Attersee seit Aufzeichnungsbeginn!}} | {{Temperatureintrag|Dezember 2011|13,2 Grad am 16.12.|-6,8 Grad am 20.12.|97 km/h am 16.12.|73,2 Liter|12,6 Liter am 7.12.|Wärmster Dezember am Attersee seit Aufzeichnungsbeginn!}} | ||
Version vom 1. Februar 2012, 08:21 Uhr
Das aktuelle Wetter wird hier über externe Links angeboten. Der Klimarückblick wird von der Firma METEO-data Limited[1], Salzburg, für die Region Attersee-Attergau erstellt.
Wetter (externe Seiten)
- ORF-Wetterseite für Oberösterreich
- Wettervorhersage für Oberösterreich durch die Zentralanstalt für Meteorologie und Geodynamik (ZAMG)
Wetterstationen und Webcams
- Wetterstation/Webcam Aichereben bei Nußdorf am Attersee
- Wetterstation/Webcam des Union-Yacht-Club Attersee
- Wetterstation/Webcam bei der Sternwarte Gahberg
- Webcam am Lichtenberg, Gemeinde Straß im Attergau Diese Webcam ist steuerbar
Klimarückblick für die Region Attersee-Attergau ab April 2010
| Monat | Höchsttemperatur | Tiefsttemperatur | Max. Windgeschindigkeit | Gesamt-Niederschlagsmenge pro Quadratmeter | Max. Tagesniederschlag pro Quadratmeter | Anmerkungen zum Monatsklima |
|---|---|---|---|---|---|---|
| Jänner 2012 | 9,6 Grad am 22.1. | -10,2 Grad am 31.1. | 78 km/h am 22.1. | 135,8 Liter | 26,0 Liter am 19.1. | Sehr feuchter Jänner. Es wurde die doppelte Niederschlagsmenge als für diesen Monat üblich registriert!
|
| Dezember 2011 | 13,2 Grad am 16.12. | -6,8 Grad am 20.12. | 97 km/h am 16.12. | 73,2 Liter | 12,6 Liter am 7.12. | Wärmster Dezember am Attersee seit Aufzeichnungsbeginn!
|
| November 2011 | 13,9 Grad am 7.11. | -3,4 Grad am 25.11. | 39 km/h am 27.11. | 3,6 Liter | 0,8 Liter am 26.11. | Trockenster November seit mindestens 153 Jahren am Attersee. Rekord auch an Nebeltagen. Mit 28 Nebeltagen wurde das bisherige Maximum von 19 Nebeltagen (1984) klar übertroffen!
|
| Oktober 2011 | 24,3 Grad am 4.10. | -1,9 Grad am 15.10. | 58 km/h am 8.10. | 101,0 Liter | 36,4 Liter am 7.10. | Der Oktober 2011 war im langjährigen Mittel um rund 0,5 Grad zu warm (Mittelwert: 8,7 Grad)!
|
| September 2011 | 29,1 Grad am 11.9. | 6,6 Grad am 19.9. | 57 km/h am 5.9. | 81,6 Liter | 42,0 Liter am 5.9. | Drittwärmster September der letzten 30 Jahre!
|
| August 2011 | 33,4 Grad am 26.8. | 8,3 Grad am 11.8. | 58 km/h am 24.8. | 133,8 Liter | 31,0 Liter am 4.8. | Viertwärmster August der letzten 30 Jahre! Extrem war der 26.8., um 23.00 Uhr wurde noch eine Temperatur von 30,1 Grad registriert! 17 Stunden später schneite es bis auf 1700 Meter herab!
|
| Juli 2011 | 30,2 Grad am 17.7. | 8,9 Grad am 2.7. | 74 km/h am 17.7. | 120,6 Liter | 21,0 Liter am 20.7. | Kältester und sonnenscheinärmster Juli seit dem Jahr 2000!
|
| Juni 2011 | 30,6 Grad am 22.6. | 9,7 Grad am 18.6. | 66 km/h am 19.6. | 104,6 Liter | 19,0 Liter am 22.6. | Der Juni war im Vergleich zum langjährigen Mittelwert um rund 1 Grad zu warm. Die Sonnenscheindauer entsprach den Normalwerten!
|
| Mai 2011 | 29,1 Grad am 26.5. | 0,6 Grad am 4.5. | 71 km/h am 12.5. | 126,2 Liter | 37,2 Liter am 27.5. | Auch der Mai 2011 war wieder ein zu warmer Monat. Mit 11 Sommertagen (Tage über 25 Grad) wurde der bisherige Rekord (9) klar übertroffen!
|
| April 2011 | 25,6 Grad am 7.4. | 0,6 Grad am 17.4. | 58 km/h am 12.4. | 19,6 Liter | 8,4 Liter am 4.4. | Drittwärmster April seit dem Jahr 1800!! Auch die Trockenheit war sehr markant. Es wurden nur 30% des normalen Niederschlagswertes erreicht!
|
| März 2011 | 18,7 Grad am 24.3. | -8,5 Grad am 8.3. | 54 km/h am 17.3. | 49,8 Liter | 18,0 Liter am 18.3. | Sonnigster März seit 1953! Erster völlig schneefreier März seit Beginn der Schneemessungen am Attersee! (1976)
|
| Februar 2011 | 12,7 Grad am 8.2. | -11,8 Grad am 24.2. | 60 km/h am 11.2. | 25,6 Liter | 10,2 Liter am 12.2. | Die Niederschlagsmenge erreichte nur 40% des Normalwertes. Die Durchschnittstemperatur lag um 0,5 Grad über dem langjährigen Mittelwert!
|
| Jänner 2011 | 10,8 Grad am 14.1. | -11,3 Grad am 29.1. | 57 km/h am 15.1. | 70,6 mm | 39,8 mm am 13.1. | Der Jänner 2011 fiel aufgrund des starken Tauwetters zur Monatsmitte um rund 1 Grad zu warm aus. Am 13. 01. kam es durch starken Regen und Tauwetter zu örtlichen Überflutungen!
|
| Dezember 2010 | 10,1 Grad am 9.12. | -13,8 Grad am 17.12. | 68 km/h am 9.12. | 42,8 Liter | 6,0 Liter am 11.12. | Der Dezember war mit 29 Frosttagen sehr kalt. Zweitkältester Dezember der letzten 30 Jahre. An allen Tagen gab es eine geschlossene Schneedecke.
|
| November 2010 | 17,7 Grad am 1.11. | -7,7 Grad am 30.11. | 56 km/h am 7.11. | 39,4 Liter | 15,8 Liter am 12.11. | Der November war trotz des Winterwetters in der letzen Novemberwoche um 2,4 Grad zu warm. Die Niederschlagsmenge lag 40% unter dem langjährigen Mittelwert.
|
| Oktober 2010 | 19,4 Grad am 31.10. | -1,2 Grad am 28.10. | 49 km/h am 20.10. | 62,3 Liter | 26,0 Liter am 25.10. | Der Oktober war zu kühl und zu trocken. An vier Tagen wurde Frost verzeichnet. Beachtlich war die Maximaltemperatur infolge von Föhn am 31. 10..
|
| September 2010 | 22,3 Grad am 23.9. | 3,9 Grad am 20.9. | 55 km/h am 24.9. | 34,5 Liter | 9,4 Liter am 25.9. | Der September war zu kalt und wesentlich zu trocken. In der Messreihe seit 1983 war es der trockenste September.
|
| August 2010 | 31,2 Grad am 23.8. | 7,7 Grad am 30.8. | 65 km/h am 30.8 | 147,5 Liter | 43,4 Liter am 24.8. | Die Temperaturen entsprachen den langjährigen Mittelwerten. Die Niederschlagsmenge dagegen lag wesentlich über dem Durchschnittswert für den Monat August.
|
| Juli 2010 | 32,3 Grad am 14.7. | 8,6 Grad am 8.7. | 62,5 km/h am 5.7. | 300,7 Liter | 148,4 Liter am 5.7. | Soviel Niederschlag wie im Juli 2010 gab es laut Aufzeichnungen am Attersee noch nie! Allein am 5. Juli wurden 148,4 Liter registriert, auch dieser Wert stellt alle bisherigen Aufzeichnungen in den Schatten. Trotz des vielen Niederschlages wurden aber 9 Tropentage (Temperaturen von über 30 Grad) registriert. Der Juli 2010 zählt daher zu den sechs heißesten Monaten der letzten 100 Jahre.
|
| Juni 2010 | 31,6 Grad am 10.6. | 7,2 Grad am 21.6. | 55 km/h am 25.6. | 150,3 Liter | 33,4 Liter am 2.6. | Zu kalte und zu warme Perioden brachten bei einer überdurchschnittlichen Monatssumme des Niederschlages einen Juni, welcher um einige Zehntelgrade zu warm war.
|
| Mai 2010 | 26,6 Grad am 25.5. | 3,9 Grad am 16.5. | 70 km/h am 1.5. | 187,4 Liter | 29,5 Liter am 1.5. | Drittsonnenärmster Mai seit 1880. Nur 2 Tage ohne Niederschlag.
|
| April 2010 | 24,4 Grad am 29.4. | -2,4 Grad am 3.4. | 60 km/h am 20.4. | 50,1 Liter | 16,0 Liter am 14.4. | Der April war zu trocken (nur rund 60 % des Normalwertes wurde erreicht) und um rund 1,5 Grad zu warm. |
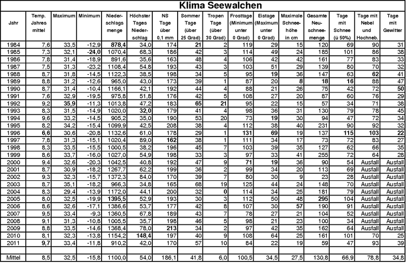
Wetter- und Klimadaten ab 1984

Hinweis: Die Schneehöhen sind bezogen auf eine Seehöhe von 490 Meter, und variieren sowohl mit der Entfernung vom Attersee, als auch mit der Seehöhe (bis 600 Meter) zum Teil sehr stark.